| retour |
Chapitre 6-5-1 : Corrélation et densité spectrale |
Calcul de la fonction d'auto-corélation
En utilisant l'ergodisme, on remplace la moyenne sur le temps par la moyenne calculée sur un ensemble de signaux.
Le signal étant périodique, il suffit de calculer la moyenne sur une période, et de calculer toutes les occurences possibles du produit Si(t) à l'instant t avec Sj(t+t) à l'instant t+t, associé à la probabilté de trouver Si(t) à un instant t dans la période T soit dt / T et de moyenner sur une période, ce qui se traduit par :

Or, ici, Si(t) ne peut prendre que deux valeurs +A et -A. Il en va de même pour Sj(t+t), ce qui permet décrire :

soit :

or, compte tenu de la symétrie du signal, nous avons :
et
![]()
d'où :

en introduisant les probabilités conditionnelles, à savoir :
![]()
![]()
il vient :

or,
et bien évidemment :
![]()
donc :

comme le signal est stationnaire, nous avons :
![]()
ce qui donne donc :

ll nous reste donc à déterminer la valeur de :
![]()
si t > T
![]()
alors :
![]()
si t < T
deux cas sont à envisager :
alors :
![]()
alors :
![]()
on en déduit que :

soit en résumé :

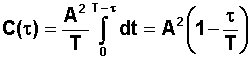
ce qui donne :
cqfd
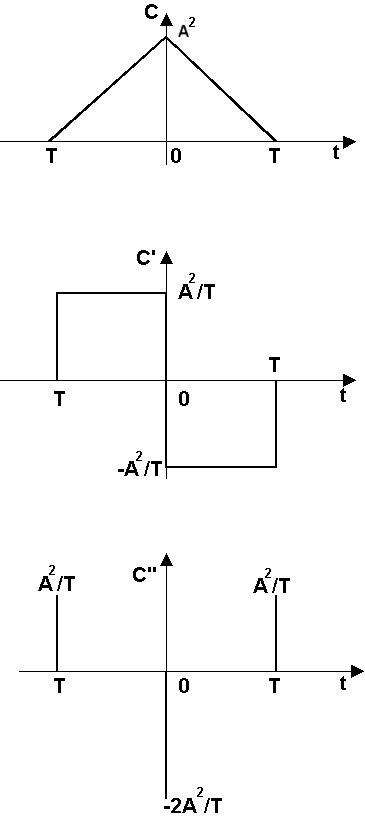
D'après le théorème de WK la DSP est la TF de la fonction de corrélation.
Pour faire ce calcul utilisons les propriétés de la TF en dérivant deux fois la fonction de corrélation, ce qui donne :

La TF ce C'' est :




cqfd